近日,365英国上市集团官网化学与分子工程学院詹望成教授和戴升教授在Nature Communications期刊发表了题为“Regulating socketed geometry of nanoparticles on perovskite oxide supports for enhanced stability in oxidation reactions”的研究成果。该工作深入探讨了催化剂表面贵金属纳米颗粒的嵌套几何型结构与高温氧化反应之间的构效关系,为高稳定催化剂的设计提供了指导。
在高温工业反应条件下,非均相催化剂表面高度分散的活性金属纳米颗粒通常面临高温下不稳定、易烧结长大的瓶颈。基于钙钛矿材料的溶出策略是解决稳定性问题的最有效方法之一,但目前对于溶出纳米颗粒嵌套构型的精准调控以及几何特征与催化性能之间的关系仍缺乏深入了解。
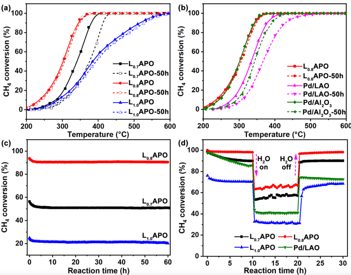
研究团队利用原位透射电子显微镜和密度泛函理论计算,揭示了Pd掺杂LaAlO3钙钛矿(LaxAl0.9Pd0.1O3-δ, x = 0.7, 0.8和1.0,简写为LxAPO)在空气煅烧条件下的溶出过程。通过改变La缺陷程度可有效控制PdO颗粒嵌套结构的几何形状,优化后的催化剂La0.8Al0.9Pd0.1O3-δ在CH4氧化和C3H8催化氧化反应中表现出优异的活性和高温稳定性,即使在1000 ℃老化50 h后仍能保持高活性。

图片说明:LxAPO钙钛矿表面PdO颗粒的嵌套几何结构
构效关系分析结果表明,溶出颗粒的粒径并不能直接决定催化性能。随着La缺陷的增加,PdO颗粒尺寸逐渐增大,但颗粒数目相应减少。L0.8APO催化剂可获得最大有效面积的活性位点,且边缘Pd位点较多,对低碳烷烃表现出更强的活化能力,使其对CH4氧化和C3H8氧化具有优异的催化活性。研究表明,嵌套结构的颗粒尺寸(r)和暴露高度(h)之间的平衡对于溶出纳米颗粒的催化活性和抗烧结能力至关重要。这些发现扩展了钙钛矿材料溶出策略在氧化反应中的应用新途径,并对嵌套结构纳米颗粒催化剂的结构-性能关系提供更深入的理解,有望促进抗烧结非均相催化剂的发展。

图片说明:LxAPO催化剂的活性及稳定性
论文以365英国上市集团官网为唯一通讯单位,于吉行博士、杨新伟博士、贾艳艳副教授和王志强副教授为共同第一作者,詹望成教授和戴升教授为共同通讯作者。此外,研究还得到了国家重点研发计划课题、国家自然科学基金和上海市青年科技启明星计划等项目的支持。
原文链接:https://www.nature.com/articles/s41467-024-54546-x